无障碍
适老版
重庆市铜梁区住房和城乡建设委员会
您当前的位置:
首页
>
法定主动公开内容
>
其他法定信息
>
基层政务公开
>
保障性住房
>
运营管理
>
配后管理
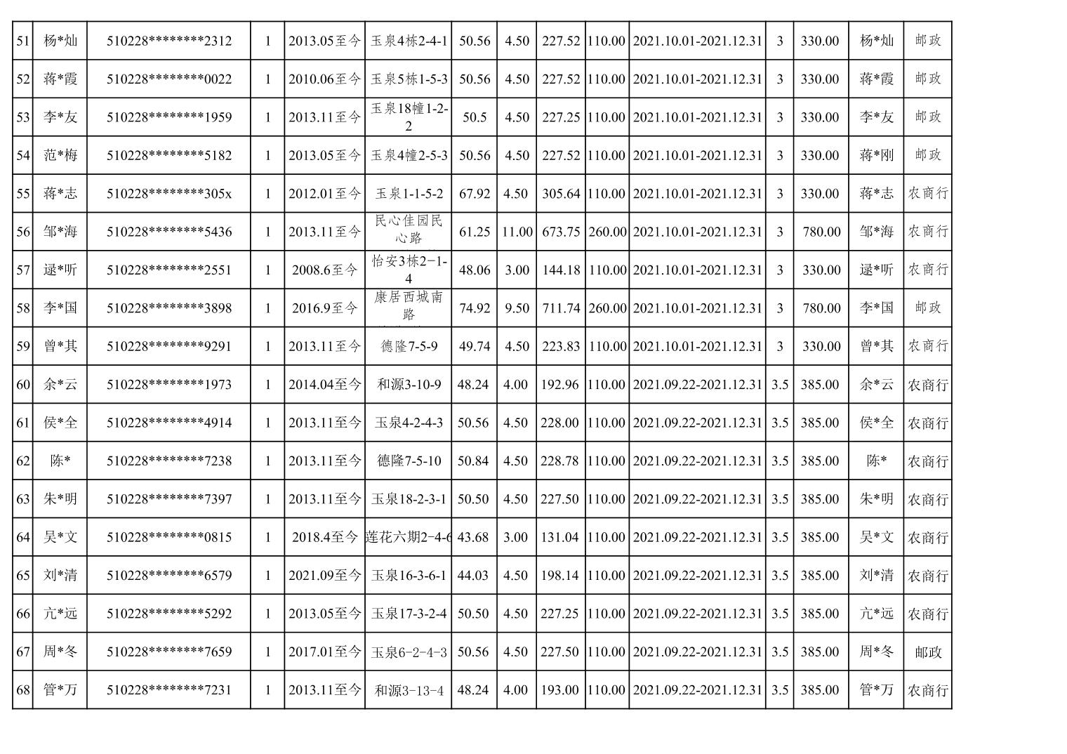
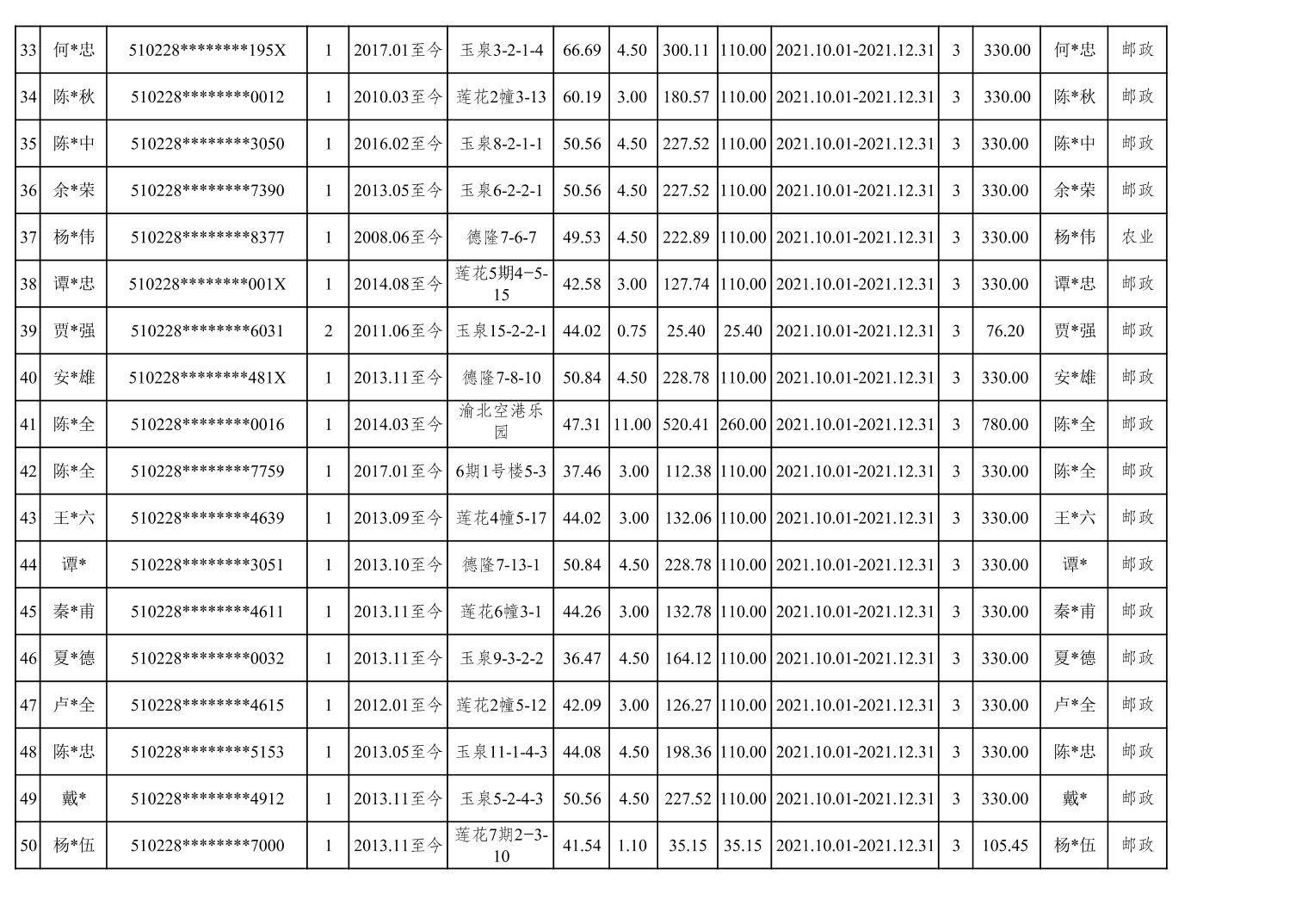
铜梁区2021年第四季度优抚对象租住本市公共租赁住房租金补助发放情况
发布日期:
2021-12-09
来源:
重庆市铜梁区住房城乡建委
字号:
大
中
小
分享到:
扫一扫在手机打开当前页
智能问答
政策问答
政策文件
政策解读
便民地图
数字人播报
数智大脑
元宇宙会客厅